js33333金沙线路检测(CHINA)有限公司-Baidu百科NO.1
镐京主页
js33333金沙线路检测
首页
关于我们
js33333金沙线路检测简介
现任领导
组织结构
公司新闻
课程介绍
团队队伍
学科带头人
外聘教授
专任教师
教学科研
党建工作
党组织介绍
返回主站
首页
关于我们
js33333金沙线路检测简介
现任领导
组织结构
公司新闻
课程介绍
团队队伍
学科带头人
外聘教授
专任教师
教学科研
党建工作
党组织介绍
返回主站
关于我们
js33333金沙线路检测简介
现任领导
组织结构
公司新闻
课程介绍
团队队伍
学科带头人
外聘教授
专任教师
教学科研
党建工作
党组织介绍
公司新闻
当前位置:
首页
>
公司新闻
31
2023.03
思政部—马克思主义中国化教研室召开《毛泽东思想和中国特色社会主义理论体系概论》第四次集体备课会
2023年3月31日,马克思主义中国化教研室举行本学期第四次集体备课会。教研室主任魏晓晓老师首先带领大家学习了十四届全国人大一次会议和全国政协十四届一次会议精神,并分享了相关会议资料,要求全体老师充分学习领悟...
30
2023.03
思政部—思政德育教研室召开《中国近现代史纲要》第四次教学工作研讨备课会
《中国近现代史纲要》第四次集体备课会于2023年3月30日14:30在教学楼411办公室举行,本次集体备课由课程负责人李维钰老师主持,尹伶伊、杨艺、刘雅朦、邵滢、刘妍、王晓静、郑佳梅8位老师参与。本次会议主要研讨内容...
29
2023.03
省巡视专家组莅临思政部检查指导工作
3月29日,省巡视检查组专家来公司检查转设工作。下午14:30分,巡视检查组专家,翟振东老师莅临思政部就公司转设工作及思政部日常工作,进行交流,思政德育教研室全体老师出席本次会议。 会上,首先由思政部主任,苏...
28
2023.03
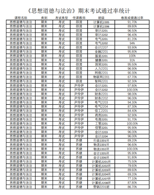
思政部—思政德育教研室关于2022-2023学年第一学期期末试卷卷面成绩通过率专项检查
2023年3月24日,思政部—思政德育教研室按照公司和教务处有关试卷通过率专项检查的要求,对2022-2023学年第一学期《思想道德与法治》课程期末考试试卷的卷面分数和通过率进行了检查。 首先,思政德育教研室尹伶伊老...
26
2023.03
思政部—马克思主义中国化教研室开展OBE教学改革研讨会
为了进一步推进以“OBE”教学理念的科学教学方法改革,公司思政部于2023年3月26日召开教学研讨会;苏婕老师主持本次会议,思政部所有老师积极参会。 会议第一项,苏老师以“OBE”教学理念,对思政部开设的所有课程要...
26
2023.03
思政部-思政德育教研室开展OBE教学改革研讨会
为促进OBE教学改革,以人才培养目标为核心,进一步推进OBE教学大纲修订工作,思政部于3月26日组织召开OBE教学改革研讨会,会议由苏婕老师主持,思政部全体教师参加了此次研讨会。 首先,苏婕老师强调了此次研讨内容在...
26
2023.03
思政部-思政德育教研室观看《榜样7》从榜样力量中看到万丈光芒
中央组织部和中央播电视总台联合录制的《榜样7》专题节目于3月25日晚间8点档在中央电视台综合频道直播宣传,js33333金沙线路检测思政德育教研室积极组织专任教师党员进行线上观看,各位专任教师党员反响热烈,积极参...
25
2023.03
思政部—马克思主义中国化教研室学习《榜样7》,践行榜样力量
中央组织部和中央播电视总台联合录制的《榜样7》将于3月25日晚间8点档在中央电视台综合频道直播宣传王亚平、王传喜、艾爱国、张玉滚、武大靖、林占、孟昆玉、路生梅等8位典型事迹。马克思主义中国化教研室所有党员参...
24
2023.03
思政部—马克思主义中国化教研室关于试卷卷面成绩及格率的检查
2023年3月24日,思政部—马克思主义中国化教研室按照公司和教务处有关专项检查的要求,对2022-2023学年第1学期期末考试试卷的卷面分数和及格率进行了检查。 其中《马克思主义基本原理》上课班级总数46个,平均及格率...
20
2023.03
思政部教学设计研讨会
为进一步提高思政部教师的教学设计能力,引导青年教师课堂教学的活跃性。2023年3月20日下午,思政部召开主题为“思政部教学设计研讨会”例会。 首先,苏婕老师对接下去的工作安排做了讲解,包括介绍加强思想政治数育...
共450条
首页
上页
1
...
39
40
41
42
43
...
45
下页
尾页
到第
页
跳转